Everything You Need to Know About Kanban Cards

Kanban cards have evolved from their origins in manufacturing environments and are now used in Agile software development, service tasks, and to keep track of personal work. In any of its manifestations, Kanban method’s cards and boards are valuable visual tools designed to minimize waste and increase productivity. 

This article will fill you in on Kanban cards: their origin, use, relation to Lean management principles, and how manual, online and digital Kanban boards can simplify workflows and make teams—or you—more productive.

What Are Kanban Cards?

Kanban is a Japanese term: ‘kan’ means ‘visual’ and ‘ban’ means card, so roughly translated, it means ‘card you can see.’ Taiichi Ohno, father of the Toyota Production System (TPS), originated the term and the Kanban card system in the 1950s to manage the flow of parts in just-in-time (JIT) production lines.

Still in use today, the inspiration for Kanban first struck at a Piggly Wiggly grocery store in the U.S. when Ohno noticed store shelves were only stocked with enough product to meet buyer demand. Inventory would only be replenished when there was an empty spot on the shelf. This gave rise to his idea of providing visual markers—the Kanban card— to reduce unnecessary inventory and a way to uncover workflow and process problems.


The Purpose of Kanban and Kanban Cards

Kanban helps create responsive work sites in factories and other organizations, facilitate quality control, and design work sites that support human dignity and allows workers to realize their full potential.

The ‘Toyota Way’ or Kanban has been adopted and is still being evolved by companies in the car business, and in business and services including healthcare, governments, and Agile software development - in fact, any organization that wants to continuously improve.

Ohno wrote three books dedicated to his ideas around “the complete elimination of waste” and increased productivity: Toyota Production System: Beyond Large-Scale Production and Workplace Management in 1988, and Workplace Management in 2007. As Ohno said, “Why not make the work easier and more interesting so that people do not have to sweat? The Toyota style is not to create results by working hard. It is a system that says there is no limit to people’s creativity. People don’t go to Toyota to ‘work,’ they go there to ‘think.’”

In the U.S., Ohno’s system is called Lean, and it too is focused on maximizing customer value while minimizing waste. ‘Lean transformation’ is the term used to characterize organizations that are moving to using the system to manage their business from the front office to production. To increase efficiency, Kanban and Lean organizations use key performance indicators (KPI) or metrics to track performance and hold individuals and teams accountable.

Prioritize and organize projects visually with Smartsheet Board View

Board View Features

Smartsheet offers a dynamic, visual approach to managing tasks and projects, making it easy to track progress, update statuses, and prioritize work in real time. With customizable Kanban-style lanes and drag-and-drop functionality, teams can stay organized, aligned, and focused on what matters most.

Explore the full range of robust features when you try Smartsheet free for 30 days.

Try Smartsheet for Free

What Makes Kanban and Kanban Cards Effective

In Ohno’s concept, emotional and psychological aspects related to change are kept in mind. That’s why he established a clear set of guardrails to guide action, clarify what’s needed to make a system efficient, and ways to empower the people who are contributing to it. Proven effective over time, these ideas are embodied in the Four Basic Principles and Six General Practices.

The Four Basic Principles of Kanban

Four foundational change management principles describe what or how you need to think to successfully manage for efficiency:

    1.    Start with what you do now. The Kanban method does not dictate specific processes. Kanban can be used to examine existing processes, but radical changes don’t need to be made immediately.

    2.    Agree to pursue incremental change. By its nature, the Kanban method supports continuous small changes to whatever current system is in place. Wide-ranging, radical changes are discouraged because they are inevitably met with resistance.

    3.    Respect current process, roles, responsibilities and titles. Kanban doesn’t prohibit or mandate change and recognizes that the present state of organizations have value. Kanban-style incremental change creates broader implementation support because small corrections are more palatable than complete alterations to process.

    4.    Encourage acts of leadership at all levels. Kaizen, or a mindset of continual improvement by everyone in the organization, is supported. The concept is that great ideas can be generated from anyone on the team, not just management.

 

The Six General Practices of Kanban

There are also practices that describe what you need to do in a Kanban system to work optimally toward a goal:

    1.    Visualize the workflow. This is where Kanban cards come into play. Once you can actually see work, the number of requests, the amount of time it takes to deliver on a request, who is making the requests, and risks, you can take steps to manage them better individually and as a team. Cards are placed on a Kanban board so all team members can follow the current workflow.

    2.    Limit work in progress (WIP). This is a cornerstone of Kanban. Limiting WIP forces the team to focus on a limited number of tasks and work to completion. This spotlights where work is being obstructed in the delivery pipeline before a situation becomes critical.

    3.    Manage flow. Based on the data gathered on cycle time and other agreed upon metrics, and using information about the current state of work on the board, Kanban helps visually track and manage tasks to deliver maximum value.

    4.    Make policies explicit. Kanban teams work together to create basic rules about work flows for different items, when to move an item into the next lane or row, and how to note and manage blocked work tasks. These items are marked near the board, and the team works toward improvement.

    5.    Implement feedback loops. Most Kanban teams do daily standup meetings in front of their Kanban board, where they discuss ways to improve task delivery and overall process, and see where waste can be eliminated.

    6.    Collaborate for improvement, evolve experimentally. A Kanban system shines a light on the areas that call for improvement. Once highlighted, workgroups develop a way to solve the problem, hypothesize, and test solutions.

Using these same principles and general practices, Kanban is useful in many different business areas: marketing project management, human resources, organizational strategic and executive leadership, personal task management, and audit teams.

To be successful, the team needs to buy into the system. Everyone needs to handle their tasks within the standards that have been set and follow those rules before they hand over tasks to the next individual or team. Additionally, keeping the Kanban information up-to-date and easily accessible for every team member is essential. That’s why digital and online Kanban boards make sense—you can access them anytime, anywhere, and instantly keep up-to-date without having to rely on physical cards and manual updates.

The Art and Science of Kanban Card Design

Think about Kanban card design in two categories: physical or analog cards, and digital cards that are developed and used in an online environment.

 

Physical Kanban card

 

kanban digital card

Digital Kanban cards

Whether you’re creating a physical or virtual Kanban board, the steps are similar, although they may be more elaborate depending on the type of project and team size. The most important thing to remember is that you’re documenting the steps in your process, and overlaying it onto your existing process. There are always things that you’re doing that work. There’s no need to start from scratch and lose things that are already working. Kanban is all about gradual improvement, so there is minimal risk in applying it as part of your improvement journey. Here’s how to get started:

Step 1: Visualize your work
    •    Break down every step from start to finish and create a lane, or column for each step.
    •    Write down tasks separately on a virtual or physical card.
    •    Color code different types of work for easier visualization.
    •    Tasks move from left [to do] to right [done].

Step 2: Limit work in progress (WIP)
    •    At 100% capacity you simply get less done. Whether a project is basic or complicated or whether the team consists of two people or 100, there is a limit to the amount of work that can be in process at one time and still maintain efficiency.
    •    Put limits on columns in which work is being performed.
    •    The goal of WIP limits are smooth workflow and waste elimination.

Step 3: Adapt, monitor, and improve
    •    Improvement should always be based on objective measurements, so find and apply good metrics.
    •    Use the data to adjust your process to maximize flow and efficiency.

Using these steps, you will be able to identify where your items needs to be adjusted, and what works best for you and your workgroup.

How Many Kanban Cards Do You Need?

One of the basic questions in Kanban system design is deciding how many cards should be in use. In “push” systems, where material or ideas are moved to adhere to a schedule, work may be forced downstream whether that partner is ready or not. “Push” can also cause congestion, which grows exponentially as more items enter the queue. A “pull” system, like Kanban, encourages cooperation, eliminates overproduction, underproduction, limits work-in-process, and controls inventory. This same idea applies to knowledge work and software development.

There are formulas, which are usually applied in production-type facilities that are monitoring inventory, that can be used to help make the decision about how many Kanban cards are required.

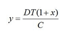
Here’s an example of a formula, from the MBA Course on Production & Operation Management at RAI University:

 

Y = Number of cards
D = Demand per unit of time
T = Lead time
C = Container capacity
X = Buffer, or safety factor

Workgroups need to determine how many Kanban cards are needed to effectively manage a process, and the amount can vary depending on the type of project, its complexity, and the number of team members. Since Kanban is about learning what works best, even establishing how many cards to use is an evolutionary process. The three-step process covered earlier is a good way to uncover the number of Kanban cards needed.

Different Types of Kanban Boards and Card Holders

When using physical cards to track Kanban process, you need a way to display them so you, if you’re working alone, or your team can see process status. Card holders on Kanban boards should allow for the cards to be easily moved to follow work progress. There are lots of ways to display Kanban inventory cards to track inventory, stage jobs, and more. Here are some options:

Kanban Bin Systems. In two-bin and three-bin holder systems, mostly used to track inventory, items are replenished in a production line or supply setting. A worker pulls tasks from bin number one, and once empty, turns the Kanban card or the whole bin (if the card is permanently fixed) over. The worker then pulls items from the second bin while the order for first bin replenishment is placed. In a third bin system, a bin is inventory and kept at the supplier’s location.

Kanban Card Holders and Racks. Often used in material handling environments, card holders and racks, usually wall-mounted, aid the flow of projects and communications. Instead of the signal cards that represent demand or capacity, the board utilizes magnets, plastic chips, colored washers, or sticky notes to represent work items. Each of these objects represents an item in a production or knowledge work process as it moves around the board.

Kanban Boards. Originally represented as bulletin or whiteboards, Kanban boards tracked the three main areas of workflow: "to-do," "in progress," and "done" (or a variation of those terms). Many people still work this way, and it provides a good visual of where your project currently stands and where it's headed.

 

Simple kanban representation

For most project managers today, a whiteboard is too limiting, especially when work is being done remotely. The latest, and most efficient way to ‘hold’ Kanban cards - particularly for complicated or virtually conducted projects - is with an online or digital Kanban board using an app to represent a virtual whiteboards.

Online and Digital Kanban Boards

With an online Kanban board you can use your own device screen to visualize, manage workflow, and collaborate in real time with your team. Online Kanban boards emulate the whiteboard or bulletin board model by using apps, but they provide so much more: flexibility, faster work, clarity, and transparency. Kanban can be used to manage all kinds of work and help you:

  • Visualize work in progress
  • See bottlenecks and roadblocks and decide how to remove them
  • Improve team communication
  • Empower teams to self-manage work
  • Inspire team collaboration

Web-and-cloud based Kanban boards and templates can be easily customized to fit the needs of any workflow. You can change the way you designate columns or lanes, and adjust the Kanban card to suit your project. If you’re in the market for a digital Kanban solution, you can easily learn about choosing the best Kanban app for your needs. And if you are thinking about online Kanban, you’re likely a member of an Agile software development team, the most common users of digital boards.

Online and Digital Kanban Boards for Software Development

Like the ‘father’ of manufacturing Kanban, Taiichi Ohno, there’s a ‘father’ of another type of Kanban, who used the principles to apply the same evolutionary, continuous improvement model to knowledge work and software development. Management consultant David J. Anderson helped Microsoft’s Team Server group create a system that visualizes and limits work-in-progress in software development and information technology (IT) work. According to Anderson, “Kanban is not a software development lifecycle methodology or an approach to project management. It requires that some process is already in place so that Kanban can be applied to incrementally change the underlying process.”

Lean Software Development (LSD) adopted Kanban and Lean principles, which was described by Mary and Tom Poppendieck in their book, Lean Software Development. Like David J. Anderson’s development process, their principles run close to those of Kanban:

  1. Eliminate waste
  2. Amplify learning
  3. Decide as late as possible
  4. Deliver as fast as possible
  5. Empower the team
  6. Build integrity

Today, Kanban methods are widely used in LSD and other knowledge work performed in Agile environments.

Agile Kanban Boards

The term Agile was first devised in 2001, in the Manifesto for Agile Software Development, which was written by seventeen independent software developers. An iterative and flexible approach, Agile methods allow teams to segment the development process into manageable pieces so changes are easier to make as work progresses and prevents bringing the entire development project to a standstill.

The ability to accept incremental changes, make tasks and progress transparent, and adapt is why project managers like to use a Kanban board for project management. While Agile teams probably need more options than basic Kanban—to do, doing, done—the adaptive nature of Kanban means it can be easily adjusted to the needs of your project. More complex tasks and workflows can be visually presented on a physical or digital Kanban board using combinations of vertical and horizontal pathways and applying color coding to identify card types.

One of the most important uses of Kanban in Agile development is the limits it imposes on work-in-progress. With the ability to visually track where work is being backlogged in any particular lane, you can take action to impose predetermined limits for the maximum number of items permitted in a lane to keep work flowing smoothly.

Many Agile teams today are taking advantage of apps to further streamline their projects. Apps make it easy to share and update information, track and improve metrics for continuous improvement, integrate with tools already in use, and save time. Choosing the right project management software is essential to meeting your development work team goals—learn how to pick the right agile tools for your project.

Scrum Kanban Boards

A deceptively simple framework, Scrum is a subset of Agile. Created by Jeff Sutherland in 1993, it’s also a software development model that employs iteration. It was designed to manage complex software and product development, but it also works well for any complex scope of work, unrelated to software development. The iterations Scrum uses are fixed-length. These iterations are called a sprint and last one or two weeks, which allows the team to ship software at regular intervals. At the end of each sprint, a meeting is held with stakeholders and team members to generate next steps.

Scrum follows an unchanging set of roles, responsibilities, and meetings. For example, Scrum calls for four procedures: sprint planning, daily stand-up, sprint demo, and sprint retrospective. These procedures are designed to motivate improvements and speed and deepen the commitment of team members to generate positive change in attitudes and delivery. While Scrum is intrinsically more structured than Kanban, because Kanban can be applied to any process, it’s a useful tool to pull work through ‘to the right’ completion. During each sprint, teams use visual tools like Kanban boards to show progress and generate feedback, both in vertical lanes and in the horizontal swimlanes designated for different types of work.

One thing that Kanban and Kanban apps add to Scrum is the discipline of work-in-progress (WIP) limits to prevent or quickly clear bottlenecks to keep projects moving swiftly toward delivery. If this sounds like the tool you’re looking for to enhance your Scrum process, read How to Pick the Right Scrum Tool.

JIRA Kanban Boards

JIRA Software is a customizable development tool that can be adopted to any Agile development practice, Scrum, Kanban, or a combination of methodologies. While many developers think it’s open source software, it’s a proprietary product by Atlassian. More than just a ‘bug tracker,’ JIRA is used to track issues. It can follow new feature requests, system admin or Scrum tasks, or any other feature that users need. JIRA can also be used to manage tasks, designate priority, and seamlessly push tickets through the system. In the manner, JIRA is similar to Kanban because it’s easy to see backlogs and you can impose time limits.

Many non-developers work in businesses that use JIRA, and if they’re not IT savvy, getting a look into work progress in projects can be challenging. There is an answer via integration that automatically synchronizes in either direction. By actively syncing data between tools, everyone's efforts are shared and visible to create collaborative project and process management, and information in both systems is always up to date.

 

smartsheet jira improved visibility

Learn more about the differences and similarities between Agile, Scrum and Kanban.

 

Excel Kanban Boards

You can also create a Kanban board in Excel. Name the columns of your sheet to reflect the stages of work - To-Do, Doing, Done and any other stages relevant to your project - and fill in the columns with your tasks. You’ll retain all the functionality of a typical project tracked in Excel, but can adopt the Kanban principles for enhanced visibility and flexibility. Additionally, you can create a kanban board easily in PowerPoint, which makes it easy to present work to outside stakeholders or management who want a higher-level insight into work being done.

Personal Kanban Boards

Although commonly used in software development, the Agile principle can be applied to personal task management as well. Looking for a way to handle your own ‘to-do’ list more effectively? Jim Benson, the personal Kanban guru who wrote a book on the subject with Tonianne DeMaria, Personal Kanban, Mapping Work, Navigating Life, advised that Kanban can help sort out workload and competing personal life priorities, like vacations, weddings, or home projects. In his book, he writes, “As the freeway approaches 100% capacity, it ceases being a freeway. It becomes a parking lot.” The same principles that apply to Kanban can be applied to how you organize your own work or life tasks. Like other Kanban boards, personal Kanban helps you identify your workflow and visualize your work using the basic Kanban board rows: To Do, Doing, Done (or some variation of those). One of the things to bear in mind when creating a personal Kanban is to understand, realistically, how many things you can do at one time. By limiting work-in-progress, you will be compelled to finish tasks before you move on to the next.

 

personal kanban kitchen remodel

 

Try Smartsheet for Easier Kanban Project Management

It’s easy for tasks to get lost in the madness of your everyday work. What you need is a better, more visual way to track and manage tasks.

Empower your team with board view in Smartsheet — a user-friendly task tracking solution that ensures seamless task prioritization, enhanced project visibility, and effortless agile collaboration.

Whether managing projects, optimizing workloads, or tracking to-dos, board view helps eliminate unnecessary status meetings by letting team members track project progress, completed tasks, and upcoming work with task cards.

Discover the intuitive drag-and-drop cards, real-time collaboration, and organizational card nesting that drive your organization to adapt and deliver more effectively.

Learn more about board view in Smartsheet.

 

Additional Resources

Agile project management

Using Personal Kanban to Find a New Job, Jumpstart Your Career, or Accomplish More in Your Current Role

Personal Kanban can help you jumpstart your career, find a new job, and become more productive. Discover all the benefits and uses of Personal Kanban.

Project management

25 Kanban Card Examples by Industry & Use Case

Download Kanban card examples by industry and use case in Excel and Microsoft Word formats.

Template download icons for Microsoft PowerPoint and Smartsheet

Agile project management

Free Kanban card templates for agile methodologies

Download these free and flexible Microsoft Excel, Word, and Powerpoint Kanban card templates for a variety of different uses and industries.

Improve team productivity with flexible, visual work management in Smartsheet.

Try Smartsheet for Free Get a Free Smartsheet Demo